X-ray diffraction // 15.04.2026 // Hans Gildenast

Enhancing Laboratory X-ray Powder Diffraction: Fluorescence Suppression with POLLUX

A 20-minute read

by Hans Gildenast1, Giacomo Siviero2, Philip Baumann1, Giuseppe Montemurro1, Lucas Wagner1 and Marcus Müller1
1
 DECTRIS Ltd., Switzerland
2 GNR S.r.l., Italy

The challenge of X-ray fluorescence 

In laboratory X-ray powder diffraction (XRPD), sample fluorescence is a primary cause of high background noise, significantly degrading the signal-to-noise ratio (SNR). This occurs when incident X-rays possess enough energy to eject inner-shell electrons from the sample's atoms, a common issue when using Cu-Kα radiation (8.0 keV) to study iron-containing samples (Fe K-edge at 7.1 keV). [1-3]

Although fluorescence is isotropic, the discrete nature of photons creates fluctuations in the background that mask weak diffraction peaks. [4] Traditional solutions, such as using Cobalt tubes or secondary monochromators, often result in higher costs or reduced beam intensity.

HPC Detectors

Modern Hybrid Photon Counting (HPC) detectors offer a more efficient solution by using adjustable energy thresholds. [5,6]

  • Discrimination: The detector records events only when the photon energy exceeds a specific threshold.

  • Suppression: By setting the threshold correctly, lower-energy fluorescent photons (like Fe-Kα at 6.4 keV) can be filtered out.

  • Energy Resolution: Defined as the FWHM of the derivative of an energy threshold scan, this determines how effectively the detector distinguishes between different energies such as the elastic scattering and the fluorescence.

Despite these advancements, the narrow energy gap between Fe-Kα (6.4 keV) and Cu-Kα (8.0 keV) remains a significant instrumental challenge for precise separation.

Introducing POLLUX: A Leap in Energy Resolution

The POLLUX is a new-generation HPC detector specifically designed to overcome the traditional constraints of laboratory X-ray diffraction. With a large active area of 19 × 14 mm (extendable to 58 × 14 mm in the POLLUX PANORAMA configuration), it enables high-throughput measurements while retaining exceptional spatial resolution through its small 75 × 75 µm pixels.

What sets POLLUX apart is its unique ability to combine a high dynamic range with excellent energy resolution. Each individual pixel is capable of detecting everything from a single photon up to 10⁶ photons per second without dark or readout noise, while simultaneously distinguishing between photons of different energies. This advanced capability specifically addresses the challenge of X-ray fluorescence. By featuring an optimized energy resolution of better than 600 eV, the detector allows users to define a narrow energy window, ensuring that only desired diffracted photons are recorded while lower-energy fluorescence is effectively suppressed.

Quantitative Improvements in Data Quality

To quantify the improvement of the data quality, we measured diffraction patterns of a hematite sample containing strongly fluorescing iron. The lower energy threshold (Eth1) was varied to observe the effect on both the level of the background and the improvement of the signal-to-noise ratio in the Bragg-Brentano diffraction setup of a GNR Explorer instrument (Ni-filtered Cu-Kα source).

Figure 1: Fe2O3 {1 0 4} reflection data from Bragg-Brentano powder diffraction with Cu-Kα photons in combination with energy threshold settings (Eth1). (a) Shows how the peak to background (PtB) ratio and signal to noise ratio (SNR) develop with the Eth1 setting. All data is normalised to the PtB and SNR of the measurement at Eth1 = 4000 eV. (b) shows the diffraction peak at two Eth1 settings.

The diffraction of hematite (Fe2O3) is accompanied by a strong fluorescence background that has about 60% of the absolute intensity of the {1 0 4} reflection when setting the energy threshold to the standard 50% of the photon energy at 4000 eV (Figure 1). Increasing the energy threshold beyond 6000 eV reduces the background significantly. Comparing the pattern at Eth1 = 4000 eV and 7400 eV, we find the background level is decreased by a factor of 100. This increases the peak-to-background (PtB) ratio by a factor of 40 and the signal-to-noise ratio (SNR = Ipeak / √Ibackground) by a factor of 4.7.

Impact on Phase Identification 

In a mixture of hematite with the weakly diffracting corundum (Al2O3), the high fluorescence background at low thresholds (Eth1 = 4000 eV) almost completely conceals the minor corundum {1 0 −2} peak. Raising the threshold lowers the background sufficiently to make this trace phase clearly visible and quantifiable (Figure 2).

Figure 2: Powder pattern of a mixture of 5% corundum in hematite with Cu-Kα radiation. The excerpt on the left shows how changing the energy threshold improves the quality of the weak diffraction from the minority phase.

Beyond X-ray fluorescence suppression: The Kβ Mode

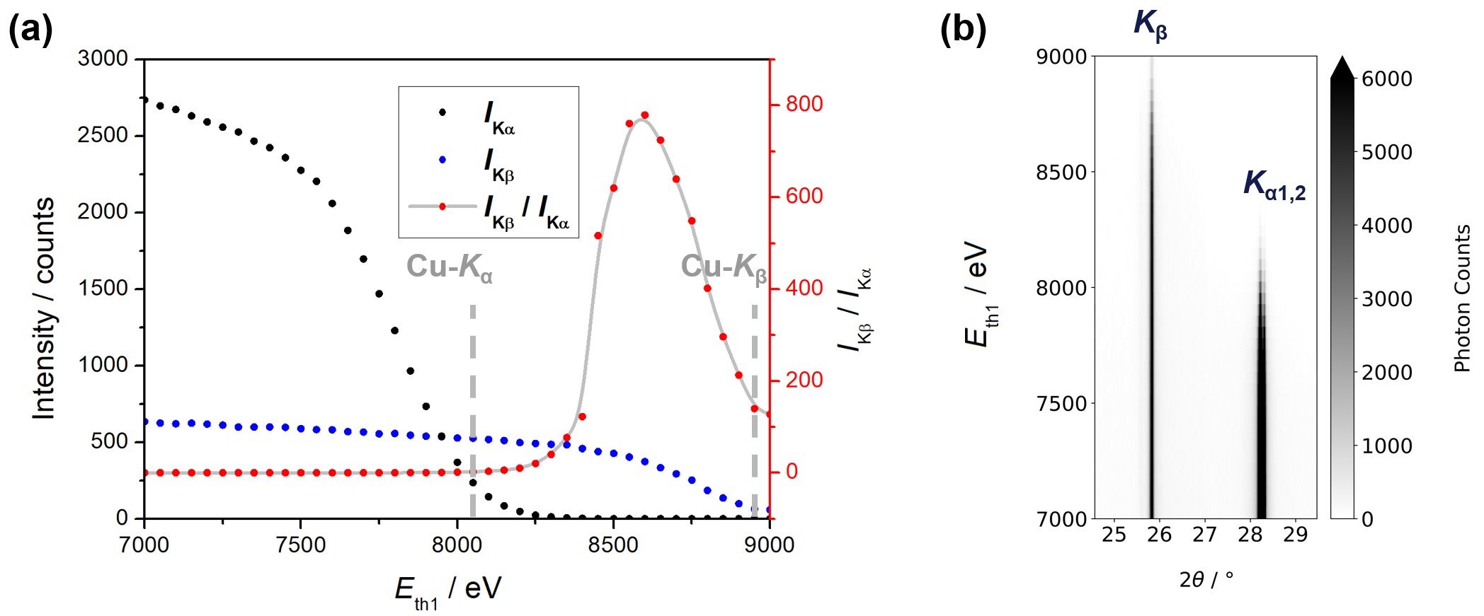
The high energy resolution of the POLLUX detector allows for Bragg-Brentano powder diffraction measurements using Cu-Kβ radiation while rejecting Cu-Kα photons. This capability enables the collection of clean powder patterns without the need for a physical Ni filter.

Furthermore, because the Kβ line lacks the splitting characteristic of the Kα doublet, it is inherently narrower, allowing for the resolution of finer structural features. By setting the detector's lower energy threshold to 8500 eV, Cu-Kα photons are completely suppressed while retaining a strong Cu-Kβ signal (Figure 3).

Figure 3: Bragg-Brentano powder diffraction data of the Si {1 1 1} reflection at different energy thresholds without a Ni filter. (a) Shows how the intensity of the diffracted Kα and Kβ photons and the ratio between the two evolves. (b) Shows the powder pattern of the two peaks plotted against the energy threshold.

Conclusion

The POLLUX detector represents a significant advancement for laboratory XRPD. Its optimised energy resolution enables researchers to extract high-quality data from highly fluorescent samples using standard Cu radiation, effectively expanding the capabilities and versatility of both standard and advanced diffractometer configurations. By reducing background noise and enhancing the visibility of trace phases, POLLUX provides a flexible solution even for the most demanding samples. 

Find more information on our POLLUX product page.

References

[1] J. A. Bearden, A. F. Burr. Rev. Mod. Phys. 1967, 39, 125.
[2] B. L. Henke, E. M. Gullikson and J. C. Davis, Atomic Data and Nuclear Data Tables 1993, 54, 181.
[3] M. D. de Jonge et al. J. Synchrotron Rad. 2014, 21, 1031.
[4] M. Mendenhall, Powder Diffr. 2018, 33, 266.
[5] P. Kraft et al.  J. Synchrotron Rad. 2009, 16, 368.
[6] C. Brönnimann and P. Trüb, In Synchrotron Light Sources and Free-Electron Lasers, 2016, 995.

Hans Gildenast Application Scientist X-ray

More on this subject

Corporate news // 12.08.2025 From User to Application Scientist: Meet Hans Gildenast
Product updates // 05.08.2025 Introducing POLLUX: Our Most Versatile XRD detector yet
X-ray diffraction // 09.07.2025 White Paper: The perfect match of 24keV MetalJet and CdTe HPC detector